Capacité des chèvres laitières à pâturer des prairies temporaires multiespèces
Chapeau
La gestion de l’alimentation des chèvres est un point de vigilance majeur en élevage caprin, particulièrement au pâturage où la ration n’est pas connue précisément. Comment les chèvres laitières, au comportement de tri élevé, s’adaptent, et combien ingèrent-elles en conditions de pâturage rationné sur prairies temporaires sous l’effet des différents facteurs de conduite ?
1. Développements méthodologiques pour l’étude de l’ingestion individuelle et du comportement alimentaire des chèvres laitières au pâturage
1.1. Quantité d’herbe ingérée
Contrairement à l'auge où il est possible de mesurer directement l'ingestion des animaux par pesée des quantités offertes et refusées et de leur teneur en Matière Sèche (MS), il est très difficile de mesurer ou d'estimer avec précision l'ingestion individuelle au pâturage. Au vu de l'expérience accumulée à INRAE (PEGASE) sur les vaches laitières au pâturage, nous avons choisi d'estimer l'ingestion des chèvres à partir de la méthode classique basée sur la définition de la Digestibilité (D), qui permet de calculer l'Ingestion (I) à partir de D et de la quantité de Fèces excrétée (F), suivant la formule (Penning, 2004 ; Pérez-Ramírez et al., 2012) :
I = F/(1 – D)
La méthode des alcanes (Mayes et al., 1986) n'a pas été retenue en raison des possibles difficultés à estimer correctement l'ingestion sur les prairies à flore variée, majoritaires en élevages caprins. Une calibration a été réalisée grâce à six essais mesurant la digestibilité in vivo pour des chèvres nourries individuellement à l'auge, avec des régimes à base d'herbe verte fauchée chaque jour, offerts à volonté ou non, avec de l'herbe plus ou moins jeune, et comprenant plus ou moins de concentrés et de fourrages déshydratés selon les essais (Charpentier, 2018). Chaque essai comprenait 6 chèvres Alpine et 3 à 4 périodes expérimentales, pour une base finale de 86 séries de données, une série étant l'ensemble des données obtenues sur une chèvre et une période. L'ingestion d'herbe et l'excrétion de fèces (collecte totale) ont été mesurées individuellement pendant cinq jours consécutifs à chaque période expérimentale. Ces études ont permis de montrer :
i) que l'oxyde d'ytterbium distribué en très petite quantité dans un concentré, comme chez la vache laitière (Pérez-Ramírez et al., 2012), permettait d'estimer correctement et sans biais la quantité de fèces excrétée, avec une erreur moyenne de prévision de 7 % (Delagarde et al., 2018b) ;
ii) que la digestibilité de la MO des rations à base d'herbe verte pouvait être estimée à partir d'une régression multiple basée sur les concentrations fécales en azote et en ADF (Charpentier et al., 2017 ; Charpentier, 2018), avec un écart-type résiduel de 0,017 g/g et une erreur moyenne de prévision de 3 % ;
iii) que l'ingestion d'herbe pouvait être estimée, dans une gamme très large (0,5 à 3,0 kg MS/j), avec une erreur moyenne de prévision de 8 % (Delagarde et al., 2018b) (figure 1a, b et c), ce qui est tout à fait satisfaisant et aussi précis que les méthodes validées en bovins ou en ovins.
Pour appliquer cette méthode dans les essais au pâturage, nous avons distribué 0,1 g d’ytterbium par chèvre et par jour, après chacune des traites, soit environ à 7 et 17 h (Charpentier, 2018). À chaque période expérimentale, les fèces ont été échantillonnés par voie rectale pendant cinq jours consécutifs, après chaque traite, pour constituer un échantillon moyen, qui a été séché, broyé puis analysé au laboratoire (ytterbium, cendres, matières azotées, fibres), permettant le calcul de l’ingestion.
Figure 1. Comparaison entre les valeurs estimées et mesurées pour a) l'excrétion fécale, b) la digestibilité de la matière organique (dMO) de la ration, c) l'ingestion d'herbe et d) la durée d'ingestion chez la chèvre laitière affourragée en vert (a, b et c) ou au pâturage (d), (Synthèse des essais méthodologiques de Delagarde et al., 2018a et b ; et Lemoine et al., 2021).
1.2. Durée de pâturage et vitesse d’ingestion d’herbe
Les activités de pâturage des chèvres ont été enregistrées grâce à des appareils portatifs, les Lifecorder Plus (LCP, Suzuken Co. Ltd., Nagoya, Japon), placés dans une boîte étanche fixée à un collier ajusté au cou des chèvres. Cet accéléromètre uni-axial est basé sur une note d'intensité d'accélération de 0 à 9 calculée toutes les 4 secondes, et seule la note d'activité moyenne observée par tranche de 2 min est stockée en mémoire et exportée. Les accélérations de la tête sont très synchrones des activités de pâturage, et le pâturage peut donc être simplement défini comme toute activité dont le seuil d'activité est supérieur ou égal à 0,5. Cet outil était déjà validé et utilisé en vaches laitières (Delagarde et Lamberton, 2015). Il a été validé sur 20 chèvres laitières, dans les mêmes conditions ou pendant nos essais, entre 2015 et 2017, au cours de 187 h d'observations visuelles réparties sur 24 jours, avec une erreur moyenne de prévision de seulement 5 % à l'échelle de la journée (figure 1d ; Delagarde et al., 2018a ; Lemoine et al., 2021), ce qui est très faible. La précision (95 %), la sensibilité (97 %), la justesse (93 %) et la spécificité (73 %) du Lifecorder Plus pour prévoir les activités de pâturage des chèvres laitières sont également élevées. Cet appareil simple et efficace est donc utilisé pour mesurer précisément la durée de pâturage journalière, mais aussi la répartition des activités de pâturage des chèvres au cours de la journée, le nombre et la durée des repas. Dans les essais, les chèvres ont été équipées chacune d'un Lifecorder Plus pendant 3 à 6 jours consécutifs, en même temps que les mesures d'ingestion. La vitesse d'ingestion d'herbe moyenne par chèvre a été calculée comme le rapport entre la quantité d'herbe ingérée et la durée d'ingestion moyenne mesurée à l'échelle de la période (5 jours).
2. Apprentissage du comportement de pâturage chez des chèvres qui ne sont jamais sorties
En mars 2015, un troupeau de 90 chèvres de race Alpine de la ferme expérimentale de Méjusseaume, conduit depuis plusieurs générations en bâtiment avec une alimentation à base de fourrages conservés secs (foins, déshydratés, concentrés), est sorti au pâturage pour la première fois. Les chèvres avaient mis bas un mois auparavant. La parcelle était une prairie multi-espèces composée de graminées (principalement Lolium perenne L. et Festuca arundinacea Schreb), de légumineuses (Trifolium repens L. et Medicago sativa L.), de chicorée (Cichorium intybus L.), de pissenlit (Taraxacum officinale L.) et de quelques pieds de rumex (Rumex sp.), adjacente à la chèvrerie (Charpentier et Delagarde, 2016). Le temps d’accès initial au pâturage a été de 2 à 3 h/jour selon les conditions météorologiques, puis a augmenté progressivement jusqu’à 8 h/jour (tableau 1). La ration en bâtiment a été distribuée à volonté durant la première semaine, puis réduite progressivement à 600 g de concentré commercial et 400 g de fourrage déshydraté 15 jours après la mise à l’herbe. Pour déterminer la vitesse d’acquisition du comportement de pâturage du troupeau, le temps de pâturage moyen pour toutes les chèvres a été calculé à partir de la proportion de chèvres en activité de pâturage (tête baissée), déterminée par observation visuelle toutes les 5 min les jours 1 (mise à l’herbe), 2, 3, 4, 5, 8, 12, 17 et 24, sur la totalité du temps d’accès journalier au pâturage. Le comportement des chèvres n’était pas perturbé par la présence de l’observateur, statique et positionné en dehors de la parcelle.
Tableau 1. Évolution du temps de pâturage d’un troupeau de chèvres laitières dans les 24 jours suivants la première mise à l’herbe de leur vie (adapté de Charpentier et Delagarde, 2016).
Jour à partir de la première sortie |
J1 |
J2 |
J3 |
J4 |
J5 |
J8 |
J12 |
J17 |
J24 |
|---|---|---|---|---|---|---|---|---|---|
Temps d’accès au pâturage (min/j) |
180 |
150 |
130 |
125 |
155 |
270 |
270 |
475 |
480 |
Temps de pâturage moyen (min/j) |
11 |
36 |
93 |
109 |
113 |
195 |
214 |
366 |
379 |
Temps de pâturage (% du temps d’accès) |
5 |
26 |
69 |
84 |
71 |
71 |
78 |
76 |
79 |
Le premier jour, aucune chèvre n’a pâturé pendant les deux premières heures d’accès, mais 30 % des chèvres ont commencé à pâturer à la 3ème heure (figure 2). Le deuxième jour, environ 20 % du troupeau a pâturé dès l’arrivée sur la parcelle, et jusqu’à 50% des chèvres ont pâturé simultanément en cours de journée. De vrais repas collectifs se sont mis en place ensuite, avec des repas de 1h15 et 1h30 dès l’entrée dans la parcelle pour la quasi-totalité du troupeau en jours 3 et 4, respectivement. Le temps total passé à pâturer a rapidement et fortement augmenté, pour atteindre 6h30 pour un temps d’accès de 8 h dès la troisième semaine (tableau 1). Les chèvres ont donc montré une très bonne capacité à s’adapter rapidement à un passage d’une alimentation à base de fourrages conservés en bâtiment à du pâturage, sans doute grâce à leur curiosité naturelle et leur instinct d’imitation, dans des conditions d’herbe appétente et de prairies multiespèces. Même si les choix alimentaires des chèvres n’ont pas pu être quantifiés, nous avons cependant observé que les chèvres recherchaient et ingéraient en priorité la chicorée et le rumex (lorsqu’il était présent), et qu’elles ne montraient aucune préférence ou tri marqué entre les graminées (raygrass anglais et fétuque élevée) et les légumineuses (trèfle blanc et trèfle violet).
Figure 2. Acquisition du comportement de pâturage d’un troupeau de chèvres laitières lors de la première mise à l’herbe de leur vie (le 16 mars 2015), (adapté de Charpentier et Delagarde, 2016).
Les chèvres ne sortent au pâturage que 2 à 3 h par jour durant les 4 premiers jours (plages horaires en grisé).
3. Effet du temps d’accès journalier au pâturage
3.1. Description des essais
Trois essais réalisés entre 2015 et 2017 à la ferme INRAE de Méjusseaume (Le Rheu, Ille-et-Vilaine) ont permis de déterminer les effets du temps d'accès journalier au pâturage sur la production et la composition du lait, l'ingestion d'herbe et le comportement alimentaire des chèvres laitières Alpine (tableau 2). La gamme de temps d'accès journalier testée a été de 4 h/j à 11 h/j (Charpentier, 2018 ; Charpentier et Delagarde, 2018 ; Charpentier et al., 2019a). Pour les temps d'accès compris entre 4 et 8 h/j, les chèvres avaient accès au pâturage en une séquence par jour, entre les deux traites de la journée, et passaient la nuit et le temps diurne hors pâturage en chèvrerie. Pour les temps d'accès de 11 h/j, les chèvres retournaient au pâturage durant 3 h après la traite du soir. Les essais ont tous eu lieu en début de printemps (avril-mai), dans de bonnes conditions de pâturage en termes de qualité d'herbe (prairies multi-espèces avec graminées, légumineuses et chicorée, au stade feuillu), avec une hauteur d'herbe avant pâturage comprise entre 13 et 16 cm selon les essais, lors des cycles 2 et 3 de pâturage (repousses de 30-35 jours environ). Les 36 à 48 chèvres mobilisées étaient à moins de 2 mois de lactation en début d'essai.
Dans tous les essais, les chèvres recevaient 600 g brut par jour d’un concentré commercial à 210 g matières azotées totales (MAT)/kg MS, distribué en individuel à chaque traite (vers 7h 30 et 16h30). Pour les temps d’accès les plus courts (< 7 h/j), les chèvres recevaient aussi en individuel 400 g de fourrage déshydraté, distribué après la traite du soir. Aucun fourrage fibreux n’a été distribué en bâtiment le jour ou la nuit. Les temps d’accès intermédiaires (7 et 8 h/j) ont été testés avec ou sans fourrages déshydratés. Concernant la litière, la paille a été remplacée par des copeaux de bois durant les semaines de mesures expérimentales afin de prévenir l’ingestion de paille et éviter tout biais ou erreur dans le calcul de l’ingestion d’herbe et de l’ingestion totale. Au sein d’un essai, les différentes stratégies alimentaires (temps d’accès avec ou sans apport de fourrage déshydraté) ont été comparées à même quantité d’herbe offerte, avec un lot physique de 12 chèvres (principalement des multipares) par traitement. Les conséquences des traitements sur la hauteur de l’herbe en sortie de parcelle ont été déterminées.
Tableau 2. Description des trois essais réalisés sur l'effet du temps d'accès (TA) journalier au pâturage chez la chèvre laitière (adapté de Charpentier, 2018 ; Charpentier et Delagarde, 2018 ; et Charpentier et al., 2019a).
Variable |
Essai T1 |
Essai T2 |
Essai T3 |
|---|---|---|---|
Année d’essai |
2015 |
2016 |
2017 |
Dates de l’essai |
16/04-06/05 |
01/04-22/04 |
07/04-18/05 |
Temps d’accès comparés (h/j) a |
4D/6D/8D |
7/7D/11 |
5D/8D/8/11 |
Nombre de chèvres |
36 |
36 |
48 |
Pourcentage de multipares |
92 % |
100% |
100 % |
Stade de lactation en début d’essai (j) |
53 |
47 |
47 |
Production laitière en début d’essai (kg/j) |
3,0 |
3,7 |
3,9 |
Poids vif en début d’essai (kg) |
48 |
54 |
56 |
Apport de concentré (g brut/j) |
600 |
600 |
600 |
Apport de luzerne déshydratée (g brut/j) a |
400 (D) |
0 ou 400 (D) |
0 ou 400 (D) |
Quantité d’herbe offerte (kg MS/j > 4 cm) |
2,0 |
2,3 |
2,4 |
Biomasse avant pâturage (t MS/ha > 4 cm) |
2,66 |
2,47 |
2,26 |
Hauteur en entrée de parcelle (cm herbomètre) |
16,6 |
14,2 |
12,9 |
Teneur en MAT de l’herbe offerte (g/kg MS) b |
180 |
193 |
183 |
Teneur en NDF de l’herbe offerte (g/kg MS) b |
466 |
463 |
455 |
Teneur en ADF de l’herbe offerte (g/kg MS) b |
247 |
229 |
211 |
a: Le chiffre indique le temps d’accès au pâturage en heures/jour. La lettre D indique l’apport de 400 g brut de fourrage déshydraté distribué à la traite du soir
b: MAT : matières azotées totales ; NDF : fibre insoluble dans le détergent neutre ; ADF : fibre insoluble dans le détergent acide
3.2. Réponses des chèvres au temps d’accès au pâturage
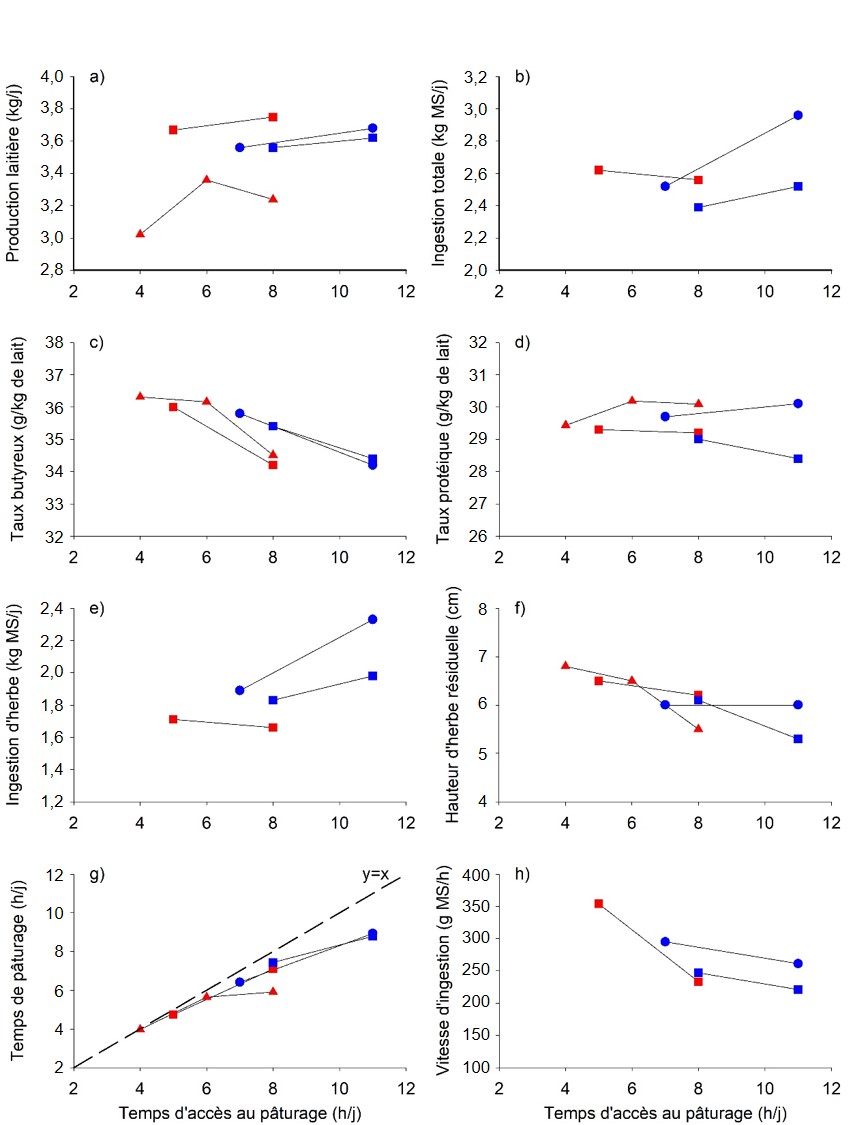
Les essais réalisés ont permis d'augmenter considérablement les connaissances sur l'adaptation des chèvres laitières au temps d'accès journalier au pâturage dans la gamme comprise entre 4 et 13 h d'accès par jour, gamme la plus fréquemment rencontrée dans les élevages laitiers français. Dans les conditions de nos études, c'est-à-dire avec des prairies multiespèces de très bonne qualité, mais un niveau de complémentation relativement modeste (600 g brut de concentré/jour, avec ou non 400 g de fourrages déshydratés), nous avons observé que le temps d'accès est limitant pour l'ingestion et la production laitière en-deçà d'un seuil de 6 h par jour. Des variations de temps d'accès au-delà de ce seuil ne semblent pas affecter la production ni la composition du lait (figure 3a, c, d). L'augmentation apparente du taux butyreux lorsque le temps d'accès est réduit n'a été significative dans aucune des études. Ces résultats sont cohérents avec l'étude de Keli et al. (2017) sur chèvres laitières, dans laquelle la réduction du temps d'accès de 22 h à 8 h ou 6 h n'a eu d'effet ni sur la production laitière, ni sur les taux butyreux et protéique. Une réduction de production laitière avec celle du temps d'accès au pâturage a cependant été observée sur des chèvres traites une seule fois par jour le matin (Fança et al., 2019). L'absence d'effet moyen du temps d'accès sur le taux protéique du lait est cohérent avec le fait que le taux protéique du lait chez les chèvres ne varie pas avec les apports énergétiques (Sauvant et Giger-Reverdin, 2018), contrairement aux vaches laitières.
L'étude de la durée d'ingestion (ou temps de pâturage), exprimée en heures par jour, ou en pourcentage du temps d'accès passé à pâturer, ainsi que de la vitesse d'ingestion d'herbe, a permis de mettre en évidence les deux mécanismes principaux d'adaptation des chèvres à la restriction du temps d'accès. Le premier mécanisme est une concentration des activités de pâturage dans le temps disponible, et ce jusqu'à 80, 90 voire 100 % du temps disponible lorsque celui-ci devient très court (4-5 h/jour) (figure 3g). La durée d'ingestion est fortement réduite, mais les chèvres sont actives tout le temps au pâturage. Le second mécanisme, observé seulement lorsque le temps d'accès est inférieur à 8 h/j, est une compensation partielle de la baisse de durée d'ingestion par une augmentation très significative de la vitesse d'ingestion (+ 20-30 %). Il semble donc qu'il existe un point d'inflexion autour de 8 h/j d'accès, avec une amplification des mécanismes d'adaptation comportementale des chèvres en-deçà de ce seuil. Ces mécanismes d'adaptation à une restriction du temps d'accès au pâturage sont similaires à ceux observés chez les chèvres à viande (Romney et al., 1996 ; Berhan et al., 2005 ; Tovar-Luna et al., 2011), chez les brebis laitières (Molle et al., 2014 ; Molle et al., 2017 ; Valenti et al., 2017) et chez les vaches laitières (Delagarde et al., 2008).
Ces études ont par ailleurs montré une excellente capacité des chèvres à pâturer et à maintenir très longtemps des activités de pâturage, avec de longs repas tout au long de la journée, entre les deux traites. Ainsi, les chèvres ne semblent pas montrer de fatigue en cours de journée, sans interruption marquée du pâturage en milieu de journée (Charpentier et Delagarde, 2018 ; Charpentier et al., 2019a), contrairement aux vaches laitières qui montrent toujours un arrêt partiel de l'activité de pâturage après 3-4 h de pâturage, même lorsque le temps d'accès n'est que de 8 h/j entre les traites (Pérez-Prieto et al., 2011 ; Pérez-Ramírez et al., 2009).
Figure 3. Effet du temps d’accès journalier au pâturage sur la production laitière, l’ingestion, la hauteur d’herbe en sortie de parcelle et le comportement alimentaire des chèvres laitières.
Légende : triangles = essai T1, cercles = essai T2 ; carrés = essai T3 ; en rouge = avec luzerne déshydratée le soir ; en bleu = sans luzerne déshydratée le soir).
Les chèvres ont donc montré une bonne adaptation comportementale à une restriction du temps d’accès, avec des mécanismes d’adaptation identiques à ceux déjà observés chez les vaches laitières, mais avec peut-être encore plus de capacité adaptative. Ceci a conduit à une relative faible influence du temps d’accès sur l’ingestion, la production laitière et la composition du lait des chèvres jusqu’à 6 ou 7 h/j d’accès au pâturage, ce qui peut être en partie attribué aux très bonnes conditions de pâturage : herbe assez haute et toujours feuillue, donc très préhensible et de bonne valeur alimentaire. A l’inverse, le niveau de complémentation et la quantité d’herbe offerte étaient relativement faibles dans ces essais, ce qui aurait pu accroître la sensibilité des chèvres à une restriction du temps d’accès. Dans tous les cas, le seuil de 6-7 h/jour ne doit pas être considéré comme une valeur « universelle », et la capacité des chèvres à s’adapter à des temps d’accès courts devra être étudiée dans des conditions moins favorables en termes de hauteur d’herbe ou de qualité de prairie, et en interaction avec la dose de compléments et la quantité d’herbe offerte (régulation multifactorielle de l’ingestion). Ceci semble un prérequis nécessaire avant de pouvoir établir une loi robuste de prévision de l’effet du temps d’accès sur les performances des chèvres laitières au pâturage.
4. Effet de la quantité d’herbe offerte
4.1. Description des essais
Trois essais réalisés entre 2015 et 2018 à la ferme INRAE de Méjusseaume (Le Rheu, Ille-et-Vilaine) (tableau 3) ont permis de déterminer les effets de la quantité d'herbe offerte au pâturage sur la production et la composition du lait, l'ingestion d'herbe et le comportement alimentaire des chèvres laitières Alpine (Charpentier et Delagarde, 2018 ; Charpentier et al., 2019b ; Delagarde et al., non publié). Chaque essai a consisté à déterminer la loi de réponse des chèvres à la quantité d'herbe offerte, avec 3 niveaux d'offert comparés par essai. La quantité offerte a été modifiée par la surface offerte chaque jour aux chèvres. La gamme de quantité offerte testée a été de 1,6 à 3,3 kg MS/j au-dessus de 4 cm, ce qui est une gamme volontairement très large, permettant de bien mettre en évidence les réponses des chèvres. Les essais ont eu lieu en milieu et fin de printemps (mi-avril à fin juin), dans de bonnes conditions de pâturage en termes de qualité d'herbe, avec une hauteur d'herbe avant pâturage assez élevée, comprise entre 14 et 18 cm selon les essais, et 36 chèvres par essai, principalement multipares et en milieu de lactation (80-120 jours). Le temps d'accès au pâturage a varié de 8 à 13 h/j selon les essais. Les durées supérieures à 8 h/jour ont été interrompues par un retour au bâtiment pour la traite du soir (entre 16 h et 17 h 30 environ).
Tableau 3. Description des trois essais réalisés sur l'effet de la quantité d'herbe offerte (QO) chez la chèvre laitière au pâturage (adapté de Charpentier et Delagarde, 2018 ; Charpentier et al., 2019b ; et Delagarde et al., non publié).
Variable |
Essai Q1 |
Essai Q2 |
Essai Q3 |
|---|---|---|---|
Année d’essai |
2015 |
2017 |
2018 |
Dates de l’essai |
27/05-17/06 |
13/05-24/06 |
13/04-24/05 |
QO comparées (kg MS/j > 4 cm) |
1,6/2,3/3,0 |
1,7/2,6/ 3,5 |
1,4/2,3/3,3 |
Nombre de chèvres |
36 |
36 |
36 |
Pourcentage de multipares |
92 % |
100 % |
100 % |
Stade de lactation en début d’essai (j) |
97 |
89 |
49 |
Production laitière en début d’essai (kg/j) |
3,1 |
3,7 |
3,6 |
Poids vif en début d’essai (kg) |
48 |
55 |
53 |
Apport de concentré (g brut/j) |
600 |
600 |
600 |
Apport de luzerne déshydratée (g brut/j) |
0 |
0 |
0 |
Temps d’accès au pâturage (h/j) |
13 (9 + 4) |
11 (8 + 3) |
8 (8 + 0) |
Biomasse avant pâturage (t MS/ha > 4 cm) |
3,05 |
3,10 |
2,28 |
Hauteur en entrée de parcelle (cm herbomètre) |
16,7 |
18,5 |
14,1 |
Teneur en MAT de l’herbe offerte (g/kg MS) a |
160 |
174 |
163 |
Teneur en NDF de l’herbe offerte (g/kg MS) a |
478 |
538 |
503 |
Teneur en ADF de l’herbe offerte (g/kg MS) a |
248 |
275 |
257 |
a: MAT : matières azotées totales ; NDF : fibre insoluble dans le détergent neutre ; ADF : fibre insoluble dans le détergent acide.
Dans tous les essais, les chèvres recevaient 600 g brut par jour d’un concentré commercial à 210 g MAT/kg MS, distribué en individuel à chaque traite (vers 7h30 et 16h30). Aucun fourrage déshydraté ou fibreux n’a été distribué. La litière était constituée de copeaux de bois durant les semaines de mesures expérimentales afin d’éviter l’ingestion de paille. Les traitements ont été comparés avec un lot physique de 12 chèvres par traitement et par période expérimentale, permettant de déterminer les conséquences des traitements sur la hauteur de l’herbe en sortie de parcelle.
4.2. Réponses des chèvres à la quantité d’herbe offerte
Les trois essais montrent des résultats très cohérents entre eux, avec des réponses la plupart du temps de type quadratique, indiquant un effet dépréciatif marqué des faibles quantités d'herbe offerte et à l'inverse des capacités de compensation des animaux pour les valeurs moyennes d'herbe offerte (figure 4). La réduction d'ingestion d'herbe a été en moyenne de 120 g MS d'herbe ingérée/kg MS d'herbe offerte entre les niveaux élevé et moyen et de 200 g MS d'herbe ingérée/kg MS d'herbe offerte entre les niveaux moyen et faible. Cela signifie concrètement que, dans la gamme testée, seulement 10 à 20 % de l'herbe offerte en plus sont ingérés par les chèvres, soit 80 à 90 % de l'herbe offerte en plus qui n'est pas valorisée, d'où l'augmentation importante de hauteur d'herbe en sortie de parcelle (figure 4f). La baisse de production laitière rapportée au kg MS d'herbe offerte a été quasi nulle entre les niveaux haut et moyen (0,09 kg/jour), mais forte entre les niveaux moyen et bas (0,39 kg/jour). Pour l'ingestion d'herbe et la production laitière, cela représente des variations relatives de 3 à 6 % entre les niveaux haut et moyen, généralement non significatives, et de 10 à 11 % entre les niveaux moyen et bas, toujours significatives (Charpentier et Delagarde, 2018 ; Charpentier et al., 2019b). Ces résultats ne peuvent être comparés à ceux de la littérature chez les caprins puisqu'il n'existe pas d'études similaires. Ils sont en revanche cohérents avec les réponses curvilinéaires observées chez les brebis (Penning et al., 1986) et chez les vaches laitières (Delagarde et al., 2011 ; Delagarde et Pérez-Prieto, 2016), avec des pentes du même ordre de grandeur.
Les taux butyreux et protéique du lait n’ont en moyenne pas varié entre les niveaux haut et moyen, mais ont été réduits de 1 g/kg de lait entre les niveaux moyen et bas. La réduction du taux butyreux à faible quantité d’herbe offerte est contraire à l’augmentation généralement observée lorsque les apports UFL diminuent (Sauvant et Giger-Reverdin, 2018). Elle est également inverse à la loi de réponse à la quantité d’herbe offerte observée chez les vaches laitières (Delagarde et Pérez-Prieto, 2016). La réduction du taux protéique à faible quantité d’herbe offerte est similaire à celle observée chez les vaches laitières (Delagarde et Pérez-Prieto, 2016), mais ne semble pas cohérente avec les lois de réponse du taux protéique du lait à l’énergie ingérée, puisque, dans une synthèse d’essais réalisés sur régimes conservés, Sauvant et Giger-Reverdin (2018) ne trouvent chez les caprins aucune relation entre apports énergétiques et taux protéique du lait. Il est difficile de savoir si la réponse du taux protéique observée est une réponse spécifique liée aux régimes à base de fourrages verts, ou à des apports énergétiques plus limitants que dans les essais conduits sur régimes conservés, ou à d’autres raisons inconnues à ce jour.
L'évolution non linéaire de la durée d'ingestion avec la quantité d'herbe offerte, avec un maximum de temps passé à pâturer pour des quantités offertes moyennes (figure 4g), semble typique des ruminants, car également observée chez les brebis (Penning et al., 1986) et les vaches laitières (Delagarde et Pérez-Prieto, 2016). La durée d'ingestion serait une réponse animale à la fois liée à la préhensibilité du couvert et à la motivation des animaux. Lorsque la quantité d'herbe offerte diminue, les animaux pâturent plus ras, réduisant la facilité de préhension (moins de limbes, plus de gaines) mais aussi la taille de bouchée, donc la vitesse d'ingestion d'herbe (figure 4h). Les chèvres augmentent alors leur durée d'ingestion pour compenser la réduction de vitesse d'ingestion, ce qui est possible tant qu'il y a des feuilles en grande quantité. Lorsque la quantité offerte est très faible, la difficulté de préhension de l'herbe, liée à la proportion plus élevée de gaines foliaires dans les strates défoliées, est telle que les chèvres, comme les brebis ou les vaches, semblent être moins motivées à pâturer et réduisent leur durée d'ingestion.
Figure 4. Effet de la quantité d’herbe offerte au pâturage sur la production laitière, l’ingestion, la hauteur d’herbe en sortie de parcelle et le comportement alimentaire des chèvres laitières.
Légende : triangles rouges= essai Q1, cercles bleus= essai Q2 ; carrés verts = essai Q3.
L'ensemble des réponses observées montre que, dans de bonnes conditions de pâturage sur prairies multiespèces de qualité, sans contrainte liée au temps d'accès au pâturage, avec des chèvres complémentées uniquement avec 600 g de concentrés par jour, une quantité d'herbe offerte proche de 2,5 kg MS d'herbe/jour (> 4 cm) semble suffisante, permettant à la fois aux chèvres d'avoir de bonnes performances individuelles (figure 4a, c, d) et de bien valoriser l'herbe présente, avec des hauteurs d'herbe résiduelle maîtrisées (figure 4f) et une bonne facilité de gestion de l'herbe pour les cycles de pâturage suivants. Ce seuil de 2,5 kg MS d'herbe/jour (> 4 cm) pourrait être revu à la hausse sur des prairies de plus faible qualité, en condition de temps d'accès limité au pâturage, ou avec des chèvres de plus grand format ou de niveau de production plus élevé, et à l'inverse revu à la baisse pour des niveaux de complémentation plus élevés ou pour des troupeaux avec davantage de primipares. Ces résultats sont donc à compléter par d'autres études factorielles, permettant d'explorer des facteurs complémentaires tels que la dose de compléments apportés ou la biomasse en entrée de parcelle (Delagarde et al., 2011). Il est également nécessaire de travailler sur les indicateurs pratiques mesurables en fermes de la quantité d'herbe offerte, qui définit la pression ou sévérité du pâturage. Une meilleure connaissance de repères de pilotage, comme le ratio entre hauteur de l'herbe en sortie et en entrée de parcelle, permet en effet à terme de définir simplement la sévérité du pâturage et d'estimer l'herbe ingérée en fermes commerciales (Delagarde et al., 2017). Dans un contexte de surface accessible souvent limitant en élevages caprins, il semble également pertinent de déterminer les effets cumulatifs sur plusieurs cycles de pâturage de différentes gestions du pâturage, et en particulier l'impact sur la productivité ou la valorisation de l'herbe par hectare, la production laitière par hectare, la marge économique.
5. Effet de la suppression de l’abreuvement au pâturage
Il est connu que les chèvres sont capables de s'adapter facilement à une restriction d'eau temporaire, mais cela a surtout été étudié dans les pays chauds avec des races caprines locales adaptées (Kaliber et al., 2016). En revanche, il existe peu de données sur la capacité des chèvres de race Alpine à se passer d'eau d'abreuvement au pâturage sous nos climats tempérés. Or dans la majorité des élevages caprins laitiers français, les chèvres n'ont pas d'eau à leur disposition au pâturage.
5.1. Description de l’essai
En juin 2018, un essai a été réalisé afin de mesurer les conséquences de la suppression de l’accès à l’abreuvement au pâturage de chèvres qui pâturent 8 h par jour depuis 3 mois avec un accès permanent à l’eau de boisson (au pâturage et en bâtiment). Les deux traitements étudiés (accès permanent à l’eau de boisson ou accès à l’eau uniquement en bâtiment) ont été comparés sur 24 chèvres de race Alpine, selon un schéma en inversion avec deux lots homogènes de 12 chèvres (96 jours de lactation, 3,5 kg/j de lait et 53 kg de poids vif en début d’essai) et deux périodes successives de 14 jours (Lemoine et Delagarde, 2021). La production et la composition du lait, ainsi que le comportement alimentaire (Lifecorder), ont été enregistrés la dernière semaine de chaque période. La quantité d’eau bue, à la fois au pâturage et en bâtiment, a été enregistrée quotidiennement par lot grâce à des compteurs relevés tous les jours. Les chèvres étaient au pâturage entre 8 et 16 h, avec une quantité d’herbe offerte non limitante de 3 kg MS/jour au-dessus de 4 cm. Elles étaient en bâtiment le reste du temps, et recevaient 300 g brut d’un concentré commercial à 210 g MAT/kg MS après chaque traite (vers 7h30 et 16h30) et 400 g brut de foin de graminées de qualité moyenne après la traite du soir. La température moyenne journalière a été de 19°C pendant l’essai, avec de fortes variations inter-journalières (figure 5). La prairie multiespèces offerte était de bonne qualité, avec une teneur en MS de 216 g/kg brut et des teneurs en MAT, NDF et ADF de 147, 490 et 249 g/kg MS, respectivement.
5.2. Réponses des chèvres à la suppression de l’abreuvement
Les chèvres ayant accès à l’eau de boisson au pâturage ont bu en moyenne 1,9 kg d’eau durant la période d’accès au pâturage, et ont bu en bâtiment 2,2 kg d’eau de moins que celles qui n’avaient pas d’eau au pâturage (tableau 4).
Tableau 4. Effet de la suppression de l’abreuvement durant les périodes d’accès au pâturage (08h00 à 16h00) chez la chèvre laitière (adapté de Lemoine et Delagarde, 2021).
Variable |
AVEC eau |
SANS eau |
ETR a |
Effet (P<) a |
|---|---|---|---|---|
Eau bue au pâturage (kg/j) |
1,88 |
0,00 |
1,016 |
0,001 |
Eau bue en bâtiment (kg/j) |
3,51 |
5,75 |
1,078 |
0,001 |
Eau bue totale (kg/j) |
5,38 |
5,75 |
0,817 |
0,252 |
Production laitière (kg/j) |
3,25 |
3,28 |
0,110 |
0,379 |
Taux butyreux (g/kg de lait) |
32,9 |
33,3 |
1,45 |
0,537 |
Taux protéique (g/kg de lait) |
29,2 |
28,9 |
0,46 |
0,121 |
Temps de pâturage (min/j) |
409 |
406 |
21,3 |
0,695 |
Nombre de repas (repas/j) |
4,69 |
4,66 |
0,820 |
0,884 |
a: ETR : écart-type résiduel du modèle ; Effet (P<) : seuil de signification de l’effet du traitement. Cet effet est significatif à 5% si P est inférieur à 0,05.
Au final, la quantité totale d’eau bue n’a pas varié entre les deux traitements (5,6 kg/j). La proportion d’eau bue au pâturage a été globalement proportionnelle au temps de présence sur prairie (environ 30 %). La quantité totale d’eau bue a énormément varié entre jours, et a été très fortement et positivement corrélée à la température moyenne journalière (+ 0,57 kg/j par °C) (figure 5).
Figure 5. Variations inter-journalières de la quantité totale d’eau bue moyenne par deux groupes de 12 chèvres ayant ou non accès à de l’eau de boisson durant la période d’accès au pâturage (8 h par jour entre 08:00 et 16:00 h), en lien avec les variations de température journalière moyenne et maximale, (adapté de Lemoine et Delagarde, 2021).
Légende : cercles = groupe 1 ; triangles = groupe 2 de chèvres ; symboles pleins = avec accès à l’eau ; symboles vides = sans accès à l’eau ; courbe continue rouge = température moyenne journalière ; courbe en pointillé rouge = température maximale journalière.
Dans ces conditions, la production laitière (3,26 kg/j), le taux protéique du lait (29,1 g/kg), le taux butyreux du lait (33,1 g/kg), la durée de pâturage (408 min/j) et le nombre de repas (4,7 repas/j) n’ont pas été influencés par la suppression de l’abreuvement. La répartition heure par heure des activités de pâturage n’a pas varié non plus entre les deux traitements (Lemoine et Delagarde, 2021). Dans les conditions de cette étude, avec une herbe pâturée à 22 % de MS et un niveau de production élevé (> 3 kg de lait/j), les chèvres laitières ont donc montré une excellente capacité à se passer d’eau de boisson durant les 8 h d’accès au pâturage. Elles n’ont en effet manifesté aucun signe comportemental ou de production suggérant une gêne, y compris lors de journées très chaudes (35°C de température maximale). Ce résultat s’explique sans doute par le fait qu’au pâturage, une grande partie de l’eau ingérée provient de l’herbe pâturée. Si l’on admet une ingestion d’herbe d’environ 1,5 kg MS/j (voir chapitres précédents), cela représente 5,4 kg d’eau ingérée via l’herbe (3,6 kg d’eau/kg MS), soit une quantité d’eau équivalente à la quantité d’eau bue par jour. Il est possible qu’avec des teneurs en MS d’herbe plus élevées, comme celles rencontrées en été (25 à 40 % de MS), il y ait une adaptation plus limitée des chèvres à la suppression de l’abreuvement.
6. Effet des caractéristiques individuelles des chèvres
6.1. Description de l’essai
L'essai réalisé en Juin 2017 sur la plateforme Patuchev de l'Unité Expérimentale INRAE FERLus (Lusignan, 86) avait pour objectif de déterminer l'effet du stade de lactation, de la parité (primipare ou multipare), de la production laitière, du poids vif et de la note d'état corporel sur l'ingestion d'herbe des chèvres laitières de race Alpine au pâturage (Caillat et al., 2018 ; Charpentier, 2018). Pour cela, deux lots de 32 chèvres de race Alpine en lactation, l'un saisonné (mise-bas en février), l'autre désaisonné (mise-bas en septembre) ont pâturé simultanément des parcelles de prairies multiespèces, chaque parcelle étant divisée en deux pour un pâturage séparé des deux lots. Chaque lot comprenait 9 chèvres primipares et 23 chèvres multipares. Les conditions de pâturage et d'alimentation étaient identiques entre les deux lots, avec un pâturage de type rationné ou tournant (1 ou 2 jours de temps de séjour par bande pâturée), une quantité d'herbe offerte moyenne de 3,8 kg MS/chèvre/jour au-dessus de 4 cm (offre non limitante), un temps d'accès journalier au pâturage de 11 h/jour (6h30 entre les traites et 4h30 après la traite du soir), et une complémentation individuelle de 600 g brut par jour de grains entiers (500 g de maïs + 100 g de lupin), distribués en deux fois par jour. Les prairies étaient constituées de 23 % de trèfle violet, 21 % de luzerne cultivée, 6 % de trèfle blanc, 30 % de plantain lancéolé, et 20 % de graminées (brome et fétuque élevée). Elles étaient de bonne qualité (162 g MAT, 428 g NDF et 257 g ADF/kg MS). La biomasse et la hauteur herbomètre en entrée de parcelle étaient respectivement de 2,4 t MS/ha > 4 cm et de 15,7 cm, pour une hauteur en sortie de parcelle moyenne de 6,5 cm.
6.2. Gamme de variation de l’ingestion et du comportement
La quantité d’herbe ingérée et la quantité totale ingérée ont été en moyenne de 1,79 et 2,37 kg MS/jour, sans différence significative entre les lots en pleine ou en fin de lactation. Aucune différence significative entre ces deux lots n’a été mise en évidence pour la production laitière (2,36 kg/jour) et la production laitière corrigée (2,29 kg/jour). Si les chèvres multipares ont produit 0,70 kg/jour de lait de moins en fin qu’en pleine lactation, les chèvres primipares ont en revanche produit 0,25 kg/jour de lait de plus en fin qu’en pleine lactation (interaction stade × parité significative), ce qui explique sans doute en partie l’absence d’effet du stade de lactation sur l’ingestion. Les chèvres primipares ont ingéré en moyenne 0,60 kg MS/jour de moins que les chèvres multipares, quel que soit le stade de lactation (interaction stade × parité non significative). Ceci est à relier principalement à leur poids vif plus faible (43 contre 58 kg), puisque la production laitière, les taux, la note d’état corporel et l’ingestion totale exprimée en pourcentage du poids vif n’ont pas varié avec la parité (tableau 5).
Les chèvres ont pâturé presque 1 h de plus par jour en pleine qu’en fin de lactation (379 contre 325 min/jour), avec notamment un premier repas du matin plus long (86 contre 56 min). Les chèvres primipares ont ingéré aussi longtemps mais nettement moins vite que les chèvres multipares (224 contre 348 g MS/h, soit – 35 %). Les régressions multiples et les analyses de covariance réalisées pour prévoir l’ingestion en prenant en compte tous les facteurs animaux (stade de lactation, parité, production laitière, poids vif et note d’état corporel) n’ont pas montré d’effet significatif du stade de lactation, de la note d’état corporel (mais avec une faible gamme de variation), ni de la parité. L’absence d’effet significatif de la parité s’explique par le fait qu’il est déjà pris en compte au travers des écarts de production laitière et de poids vif entre primipares et multipares. Le poids vif et la production laitière ont été dans cet essai au pâturage les seules variables animales expliquant les variations interindividuelles d’ingestion (Charpentier, 2018), ce qui est cohérent avec les équations prévisionnelles de la capacité d’ingestion des chèvres laitières établies sur des régimes conservés (Sauvant et Giger-Reverdin, 2018).
Tableau 5. Production laitière, ingestion d'herbe et comportement alimentaire des chèvres laitières au pâturage selon leur stade de lactation et leur parité (adapté de Charpentier, 2018 ; et Caillat et al., 2018).
Variable |
Pleine lactation |
Fin de lactation |
ETR a |
Effet (P<) a |
||||
|---|---|---|---|---|---|---|---|---|
Primipares |
Multipares |
Primipares |
Multipares n=20 |
Stade |
Parité |
Stade× |
||
Stade de lactation (jours) |
126 |
114 |
265 |
269 |
- |
- |
- |
- |
Production laitière (kg/j) |
2,10 |
2,83 |
2,35 |
2,15 |
0,629 |
NS |
NS |
* |
Taux butyreux (g/kg de lait) |
31,0 |
31,4 |
35,7 |
34,0 |
4,55 |
** |
NS |
NS |
Taux protéique (g/kg de lait) |
30,0 |
30,8 |
33,7 |
33,3 |
2,62 |
** |
NS |
NS |
Production laitière 3,5% (kg/j) |
1,97 |
2,67 |
2,38 |
2,14 |
0,576 |
NS |
NS |
** |
Ingestion d’herbe (kg MS/j) |
1,33 |
2,14 |
1,38 |
1,77 |
0,561 |
NS |
*** |
NS |
Ingestion totale (kg MS/j) |
1,91 |
2,72 |
1,95 |
2,35 |
0,560 |
NS |
*** |
NS |
Ingestion totale (% poids |
4,97 |
4,97 |
4,23 |
3,99 |
1,04 |
** |
NS |
NS |
Poids vif (kg) |
38,6 |
54,8 |
47,2 |
60,3 |
7,99 |
** |
*** |
NS |
NEC lombaire (0 à 5) |
2,3 |
2,3 |
2,5 |
2,4 |
0,16 |
*** |
NS |
NS |
NEC sternale (0 à 5) |
2,7 |
2,7 |
2,8 |
2,8 |
0,22 |
* |
NS |
NS |
Durée d’ingestion (min/j) |
379 |
379 |
347 |
304 |
44,9 |
*** |
NS |
NS |
Nombre de repas (repas/j) |
9,3 |
7,9 |
8,9 |
8,7 |
1,45 |
NS |
NS |
NS |
Vitesse d’ingestion |
215 |
348 |
234 |
349 |
79,1 |
NS |
*** |
NS |
a: ETR : écart-type résiduel du modèle ; Effet (P<) : seuil de signification de l’effet du traitement. Cet effet est significatif à 5% si P est inférieur à 0,05.
Conclusion et perspectives
Les études présentées montrent que les chèvres laitières de race Alpine ont de très bonnes capacités à pâturer des prairies temporaires multiespèces de qualité. L’ingestion d’herbe a été stimulée par une absence de fourrage fibreux complémentaire et une assez faible complémentation en concentrés et en fourrages déshydratés. L’ingestion totale des chèvres dans les conditions les plus favorables testées a été très élevée, de 4 à 5 % de leur poids vif, dont 60 à 70 % d’herbe pâturée, soit 1,8 à 2,0 kg MS/jour d’herbe ingérée. Les lois de réponse des chèvres à une restriction du temps d’accès ou à la quantité d’herbe offerte montrent des mécanismes d’adaptation comportementale importants, impliquant le temps de pâturage, la vitesse d’ingestion d’herbe et une concentration des activités de pâturage lorsque le temps disponible pour pâturer est réduit. Dans les conditions de ces études, ces adaptations ont permis aux chèvres de maintenir des performances et une ingestion élevée 1) jusqu’à un temps d’accès de 6-7 h/jour, la quantité d’herbe offerte n’étant pas limitante, ou 2) avec une quantité d’herbe offerte de 2,5 kg MS/jour au-dessus de 4 cm, le temps d’accès au pâturage n’étant pas restreint. Si l’on rapporte les données acquises au poids vif des animaux, on peut affirmer que les chèvres pâturent plus, plus vite et plus longtemps que les vaches laitières dans des conditions similaires. La cinétique d’ingestion au cours de la journée montre également que les chèvres ne fatiguent pas au pâturage, contrairement aux vaches qui ont besoin d’une période de repos en milieu de journée. Les chèvres ont également montré une capacité à apprendre très rapidement à pâturer lors de leur première sortie au pâturage, et à se passer d’eau d’abreuvement durant les 8 h de présence au pâturage, même en cas de forte chaleur. Ces résultats doivent être complétés par des études supplémentaires, en faisant varier davantage les conditions en entrée de parcelle (hauteur d’herbe notamment) et la complémentation, pour mieux prévoir les interactions entre facteurs de gestion du pâturage. Les réponses des chèvres à long terme méritent également d’être étudiées, notamment pour faire le lien avec la gestion du système pâturé et les conséquences sanitaires (parasitisme gastro-intestinal) et technico-économiques à l’échelle du troupeau de différentes stratégies de pilotage du pâturage des chèvres.
Remerciements
Nous remercions sincèrement INRAE et la région Nouvelle-Aquitaine (ex région Poitou-Charentes) pour le financement de la thèse de doctorat de Alexia Charpentier (2015-2018), le Ministère de l’agriculture et de l’alimentation (Compte d’Affectation Spéciale « Développement Agricole et Rural », projet CAPHERB), ainsi que le 4ième programme « Pour et Sur le Développement Régional (PSDR) Grand Ouest » (projet FLECHE). Nous remercions également tous les personnels des unités INRAE PEGASE et FERLus ayant participé à ces travaux, ainsi que les différents stagiaires ayant participé activement aux expérimentations : Colomba Thiébot, Solveig Mendowski, Nina Belarbre, Marine Piriou, Laura Crispel (INRAE, PEGASE) et Maxime Beurrier (INRAE, FERLus).
Références
- Agreste, 2019. L’élevage caprin : plus souvent en bâtiment en Nouvelle-Aquitaine. Analyses & Résultats, Direction Régionale de l’Alimentation, de l’Agriculture et de la Forêt, 71, 4 p. https://draaf.nouvelle-aquitaine.agriculture.gouv.fr/Analyses-R-sultats-no71-Novembre
- Berhan T., Puchala R., Sahlu T., Merkel R.C., Goetsch A.L., 2005. Effects of length of pasture access on energy use by growing meat goat. J. Appl. Anim. Res., 28, 1-7.
- Bossis N., 2013. Performances économiques et environnementales des systèmes d’élevage caprins laitiers : impact du pâturage. Fourrages, 212, 269-274.
- Bossis N., Legarto J., Guinamard C., 2014. État des lieux de l’autonomie alimentaire des élevages caprins français. Renc. Rech. Rum., 21, 127.
- Caillat H., Charpentier A., Ranger B., Bruneteau E., Boisseau C., Delagarde R., 2018. Variabilité inter-individuelle de l'ingestion d'herbe par des chèvres laitières au pâturage. Renc. Rech. Rum., 24, 70.
- Caillat H., Barre P., Bossis N., Delagarde R., Disenhaus C., Ferlay A., Gaborit P., Giger-Reverdin S., Inda D., Jacquot A.L., Jenot F., Jost J., Leroux B., Puillet L., Wimmer E., Verdier G., 2020. L’herbe : un atout pour les élevages caprins laitiers en France. Renc. Rech. Rum., 25, 321-325.
- Charpentier A., 2018. Régulation et prévision de l’ingestion des chèvres laitières au pâturage. Thèse de doctorat, Université de Poitiers, France. 178p. https://hal.inrae.fr/tel-02788770
- Charpentier A., Delagarde R., 2016. Comportement alimentaire des chèvres laitières au pâturage lors de leur première mise à l'herbe, puis en fonction de la gestion du pâturage. Renc. Rech. Rum., 23, 251-254.
- Charpentier A., Delagarde R., 2018. Milk production and grazing behaviour responses of Alpine dairy goats to daily access time to pasture or to daily pasture allowance on temperate pastures in spring. Small Rum. Res., 162, 48-56.
- Charpentier A., Mendowski S., Delagarde R., 2017. Prediction of in vivo digestibility of pasture-based diets in dairy goats from faecal indicators. Grassland Sci. Europe, 22, 533-535.
- Charpentier A., Caillat H., Gastal F., Delagarde R., 2019a. Intake, milk production and grazing behaviour responses of strip-grazing dairy goats to daily access time to pasture and to dehydrated lucerne supplementation. Livest. Sci., 229, 90-97.
- Charpentier A., Caillat H., Gastal F., Delagarde R., 2019b. Intake, milk yield and grazing behaviour of strip-grazing Alpine dairy goats in response to daily pasture allowance. Animal, 13, 2492-2500.
- Delagarde R., Lamberton P., 2015. Daily grazing time of dairy cows is recorded accurately using the Lifecorder Plus device. Appl. Anim. Behav. Sci., 165, 25-32.
- Delagarde R., Pérez-Prieto L.A., 2016. Effets de la biomasse et de la quantité d'herbe offerte sur l'ingestion, les performances laitières et le comportement alimentaire des vaches laitières conduites en pâturage tournant: étude par méta-analyse. INRA Prod. Anim., 29, 87-102.
- Delagarde R., Prache S., D'Hour P., Petit M., 2001. Ingestion de l'herbe par les ruminants au pâturage. Fourrages, 166, 189-212.
- Delagarde R., Pérez-Ramírez E., Delaby L., Peyraud J.L., 2008. Adaptation comportementale et ingestion des vaches laitières soumises à une restriction du temps d'accès journalier au pâturage. Renc. Rech. Rum., 15, 323-326.
- Delagarde R., Valk H., Mayne C.S., Rook A.J., González-Rodríguez A., Baratte C., Faverdin P., Peyraud J.L., 2011. GrazeIn: a model of herbage intake and milk production for grazing dairy cows. 3. Simulations and external validation of the model. Grass Forage Sci., 66, 61-77.
- Delagarde R., Caillat H., Fortin J., 2017. HerbValo, une méthode pour estimer dans chaque parcelle la quantité d'herbe valorisée par les ruminants au pâturage. Fourrages, 229, 55-61.
- Delagarde R., Piriou M., Charpentier A., 2018a. The recording of grazing time of goats is accurate using the Lifecorder Plus device. Adv. Anim. Biosci., 9, 417.
- Delagarde R., Belarbre N., Charpentier A., 2018b. Accuracy of the ytterbium-faecal index method for estimating intake of pasture-fed dairy goats. Grassland Sci. Europe, 23, 419-421.
- Fança B., Pommaret A., Lefrileux Y., Damez-Marti R., 2019. Access time to pasture has an effect on goats’ milk production and body condition. Joint Meeting FAO-CIHEAM Network on sheep and goats and Mediterranean Pastures, Efficiency and resilience of forage resources and small ruminant production to cope with global challenges in Mediterranean areas, Meknes, Morocco, 23 to 25 October 2019.
- Hoste H., Manolaraki F., Arroyo-Lopez C., Torres Acosta J.F.J., Sotiraki S., 2013. Spécificités des risques parasitaires des chèvres au pâturage : conséquences sur les modes de gestion. Fourrages, 212, 319-328.
- IDELE, 2021. Le pâturage en élevage caprin. Collection Synthèse, Institut de l’Elevage, Paris, France. 180 pp. https://acta-editions.com/
- INRA, 2018. Alimentation des ruminants, Editions Quæ, Versailles, France; 728p.
- Jacquot A.L., Marnet P.G., Flament J., Inda D., Disenhaus C., 2019. Perception du pâturage par les acteurs de la filière caprine dans le Grand Ouest. Fourrages, 238, 167-170.
- Jost J., Bossis N., Fança B., Bluet B., Bossis C., Couvet R., Poupin B., Lazard K., Gervais P., Lefrileux Y., Pommaret A., Delagarde R., Caillat H., 2021. Faciliter les transitions des systèmes d’alimentation caprins vers des systèmes plus herbagers. Innovations Agron, 82, 67-80.
- Kaliber M., Koluman N., Silanikove N., 2016. Physiological and behavioral basis for the successful adaptation of goats to severe water restriction under hot environmental conditions. Animal, 10, 82-88.
- Keli A., Ribeiro L.P.S., Gipson T.A., Puchala R., Tesfai K., Tsukahara Y., Sahlu T., Goetsch A.L., 2017. Effects of pasture access regime on performance, grazing behavior, and energy utilization by Alpine goats in early and mid-lactation. Small Rumin. Res., 154, 58-69.
- Lefrileux Y., Morand-Fehr P., Pommaret A., 2012. Aptitude des chèvres hautes productrices de lait à valoriser les prairies temporaires au pâturage. In : Élevage caprin. Baumont R., Sauvant B. (Eds). Dossier, INRA Prod. Anim., 25, 277-290.
- Legarto J., Lefrileux Y., Pommaret A., Coutineau H., 2012. Effets de deux taux de refus sur les comportements des chèvres laitières. Renc. Rech. Rumin., 19, 223.
- Lemoine M., Delagarde R., 2021. Drinking water intake, milk production, and grazing behaviour of Alpine dairy goats in response to daytime water deprivation on temperate pastures. Appl. Anim. Behav. Sci., soumis.
- Lemoine M., Piriou M., Charpentier A., Delagarde R., 2021. Validation of the Lifecorder Plus device for accurate recording of the grazing time of dairy goats. Small Rumin. Res., à paraître.
- Mayes R.W., Lamb C.S., Colgrove P.M., 1986. The use of dosed and herbage n-alkanes as markers for the determination of herbage intake. J. Agric. Sci., Camb., 107, 161-170.
- Meuret M., 1993. Piloter l’ingestion au pâturage. Études et Recherches sur les Systèmes Agraires et le Développement, 27, 161-198. https://hal.archives-ouvertes.fr/hal-01231515
- Molle G., Decandia M., Giovanetti V., Manca C., Acciaro M., Epifani G., Salis L., Cabiddu A., Sitzia M., Cannas A., 2014. Effects of restricted time allocation to pasture on feeding behaviour, intake and milk production of dairy sheep rotationally grazing Italian ryegrass (Lolium multiflorum Lam) in spring. Anim. Prod. Sci., 54, 1233-1237.
- Molle G., Decandia M., Giovanetti V., Manca C., Acciaro M., Epifani G., Salis L., Cabiddu A., Sitzia M., Cannas A., 2017. Grazing behaviour, intake and performance of dairy ewes with restricted access time to berseem clover (Trifolium alexandrinum L.) pasture. Grass For. Sci., 72, 194-210.
- Morand-Fehr P., 2005. Recent developments in goat nutrition and application: A review. Small Rumin. Res., 60, 25-43.
- Penning P.D., 2004. Animal based techniques for estimating herbage intake. In: Herbage intake handbook. Penning P.D. (Ed). 53-93. British Grassland Society, Reading, UK.
- Penning P.D., Hooper G.E., Treacher T.T., 1986. The effect of herbage allowance on intake and performance of ewes suckling twin lambs. Grass For. Sci., 41, 199-208.
- Pérez-Prieto L.A., Peyraud J.L., Delagarde R., 2011. Pasture intake, milk production and grazing behaviour of dairy cows grazing low-mass pastures at three daily allowances in winter. Livest. Sci., 137, 151-160.
- Pérez-Ramírez E., Peyraud J.L., Delagarde R., 2009. Restricting daily time at pasture at low and high pasture allowance: effects on pasture intake and behavioral adaptation of lactating dairy cows. J. Dairy Sci., 92, 3331-3340.
- Pérez-Ramírez E., Peyraud J.L., Delagarde R., 2012. N-alkanes v.ytterbium/faecal index as two methods for estimating herbage intake of dairy cows fed on diets differing in the herbage:maize silage ratio and feeding level. Animal, 6, 232-244.
- Romney D.L., Sendalo D.S.C., Owen E., Mtenga L.A., Penning P.D., Mayes R.W., Hendy C.R.C., 1996. Effects of tethering management on feed intake and behaviour of Tanzanian goats. Small Rumin. Res., 19, 113-120.
- Sauvant D., Giger-Reverdin S., 2018. Caprins en lactation et en croissance. In: Alimentation des ruminants, Editions Quæ, Versailles, France; 728p.
- Tovar-Luna I., Puchala R., Gipson T.A., Detweiler G.D., Dawson L.J., Sahlu T., Keli A., Goetsch A.L., 2011. Effects of night-locking and stage of production on forage intake, digestion, behavior, and energy utilization by meat goat does grazing grass/legume pasture. Livest. Sci., 140, 225-245.
- Valenti B., Marletta D., De Angelis A., Di Paola F., Bordonaro S., Avondo M., 2017. Herbage intake and milk yield in Comisana ewes as effect of 4 vs 7 h of grazing during late lactation. Trop. Anim. Health Prod., 49, 989-994.
Résumé
Miser sur le pâturage peut renforcer la durabilité des élevages caprins laitiers, mais les capacités d’adaptation des chèvres laitières hautes productrices à différentes pratiques de gestion du pâturage sur prairies temporaires sont mal connues. Cet article fait le point sur les travaux expérimentaux récents menées par INRAE en Bretagne et Nouvelle-Aquitaine entre 2015 et 2018, portant sur les facteurs de variation de l’ingestion d’herbe, de la production laitière et du comportement alimentaire des chèvres de race Alpine en pâturage rationné, dans des conditions de prairies temporaires de bonne qualité, avec peu de compléments (600 g/j de concentrés, avec ou sans 400 g/j de fourrage déshydraté). Après avoir validé les méthodes d’estimation de l’ingestion individuelle et de la durée d’ingestion, nous avons montré i) qu’un troupeau qui n’est jamais sorti à l’herbe apprend en quelques jours à pâturer de façon active, ii) que les chèvres s’adaptent bien à une restriction du temps d’accès jusqu’à 6-7 h par jour, en concentrant fortement leurs activités de pâturage et sans affecter leurs performances, iii) que lorsque le temps d’accès au pâturage n’est pas limité, il faut offrir au moins 2,5 kg MS/chèvre/jour d’herbe au-dessus de 4 cm pour ne pas limiter l’ingestion et la production des chèvres, iv) que la suppression de l’abreuvement durant les 8 h de pâturage journalier ne modifie ni le comportement ni la production laitière des chèvres, même en cas de fortes chaleurs, et v) que les chèvres primipares ingèrent moins et moins vite que les chèvres multipares en raison de leur plus petit format, mais autant lorsque l’ingestion est rapportée au poids vif. En conclusion, les chèvres laitières montrent de très bonnes capacités à pâturer des prairies temporaires multiespèces en maintenant un niveau d’ingestion et de production laitière élevés.
Pièces jointes
Pas de document complémentaire pour cet articleStatistiques de l'article
Vues: 3790
Téléchargements
PDF: 427
XML: 145
Articles les plus lus par le même auteur ou la même autrice
- Dominique POMIÈS, Caroline CONSTANCIS, Julien JURQUET, Isabelle VEISSIER, Hugues CAILLAT, Gilles LAGRIFFOUL, Marie DROUET, Clément FOSSAERT, Yannick LE COZLER, Devenir des jeunes ruminants laitiers : comment concilier élevage et attentes sociétales , INRAE Productions Animales: Vol. 36 No 1 (2023)
- Bertrand BLUET, Hugues CAILLAT, Romain GUYARD, Claire BOYER, Laurence PUILLET, Barbara FANÇA, Rémy DELAGARDE, Distribution des fourrages en élevage caprin : vers des recommandations alliant simplification du travail et performances zootechniques , INRAE Productions Animales: Vol. 39 No 1 (2026)
